|
Generalized Hoek Brown 모델은 무결암(intact rock)의 실내 삼축 시험으로부터 파라미터를 예측하거나, 절리된 암반의 파괴로부터 예측하게 됩니다. Generalized Hoek Brown 파괴기준은 비선형성을 띄고, 최대/최소 유효 주응력 관계 식은 아래와 같습니다.

여기서
|

|
최대/최소 유효 주응력
|
|

|
무결암의 일축압축강도
|
|

|
무결암 파라미터(mi)의 감소계수,
|
|
S
|
암질 상수
|
|
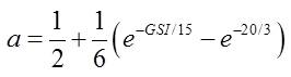
a
|
암질 상수
|
|
GSI
|
지질강도정수
|
|
D
|
교란계수
|
Generalized Hoek-Brown 모델은 암반 분류법 중 하나인 Rock Mass Rating을 이용하여 경험적인 데이터를 수치적으로 접목한 모델입니다.
항복함수의 계수값(mb, s, a)은 아래의 식과 같이 지질강도지수(GSI) 및 교란 계수(D)로 연관된 계수값으로 나타낼 수 있습니다.
, , 
지질정수 참고자료

[그림. Selection of Geological Strength Index (Hoek (1999))]

[그림. 교란계수 산정 가이드]
검증 예제

|